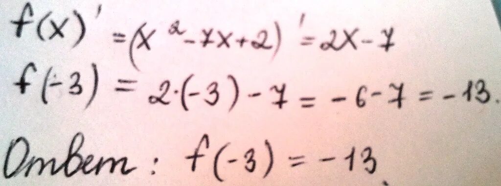
F 3 если f x 21x 7