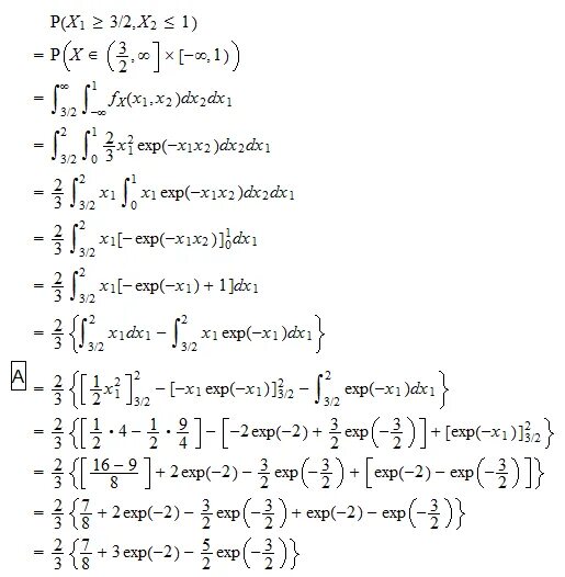
Exp x2