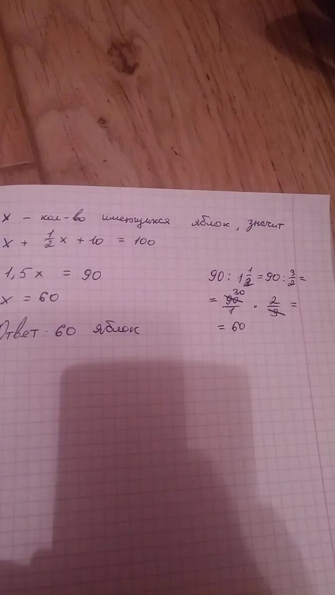
Если к моим яблокам прибавить половину их