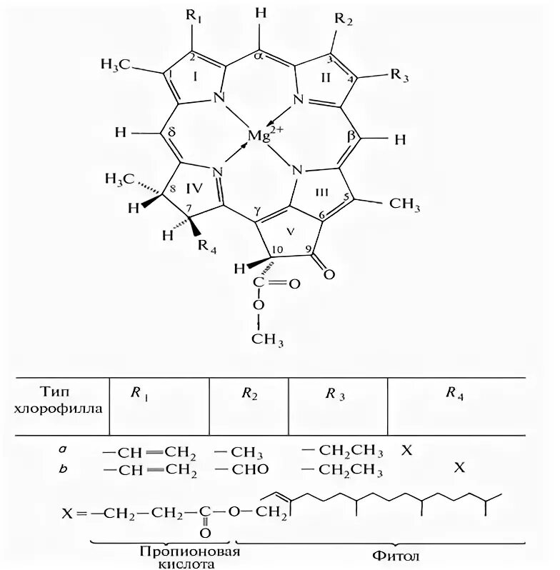
Элемент хлорофилла