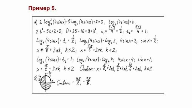
Егэ 2025 лысенко решение