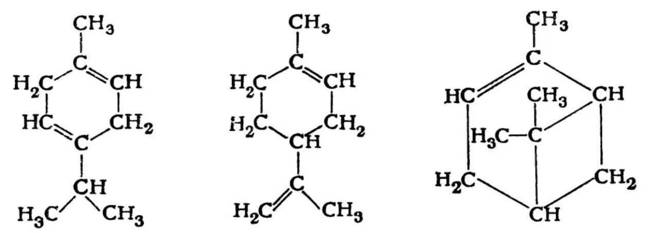
Эфирные масла формула