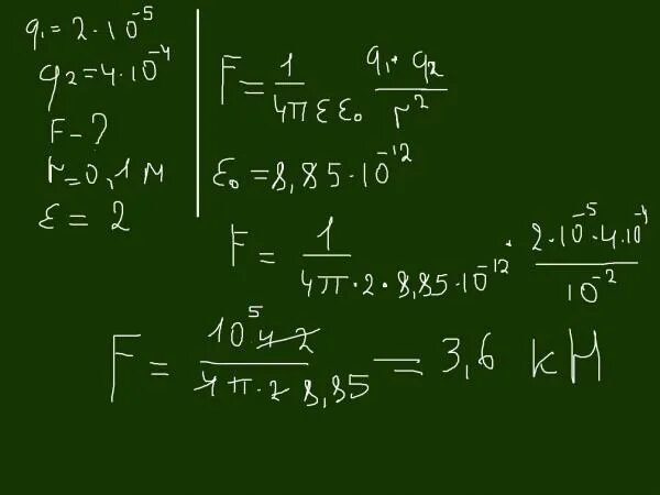
Два заряда по 4 10 кл