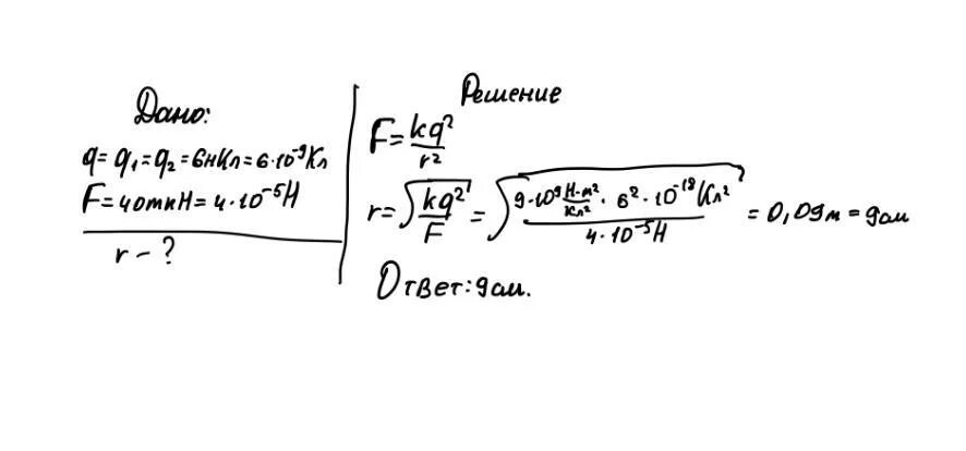
Два одинаковых по модулю