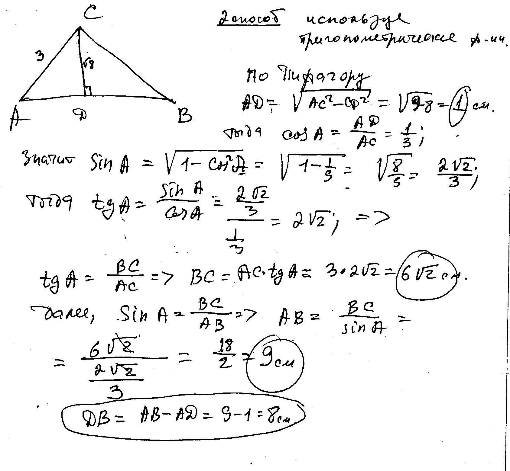
Дано ac 10 bc 8