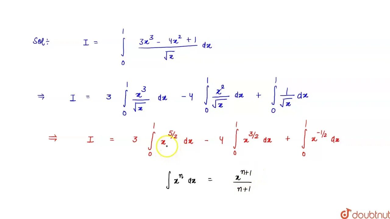
D 3 x 2 y 0