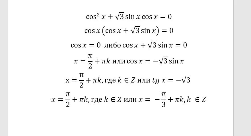
Cos2x 3 2 0