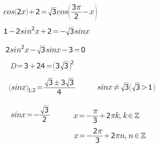
Cos pi 2 2x корень 2