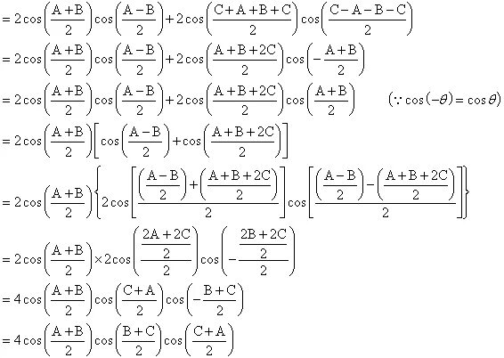
Cos c