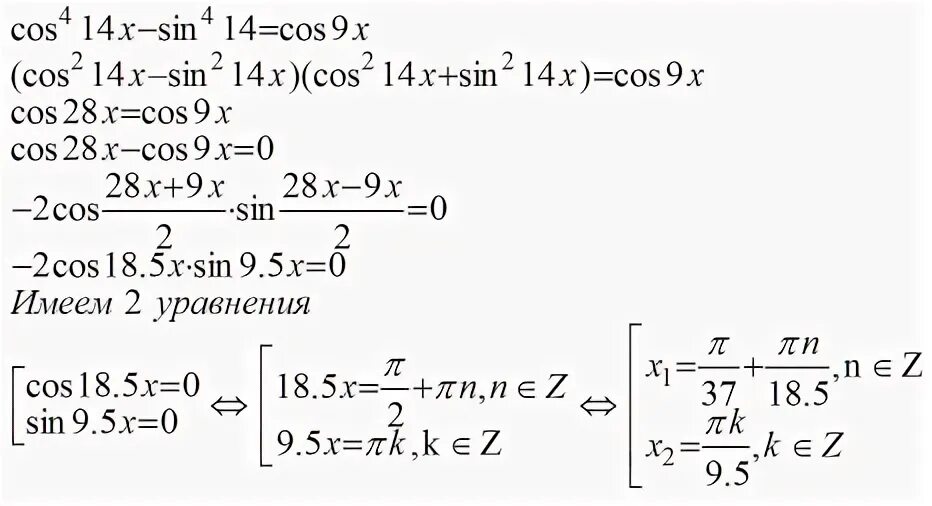
Cos 4x cos 2 x 0