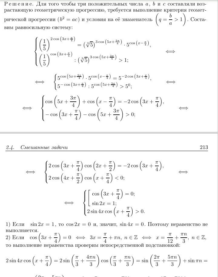
Cos 3x pi 0