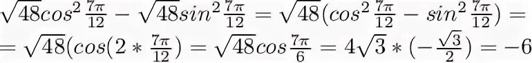
Cos 11 pi 12