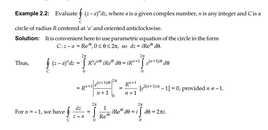
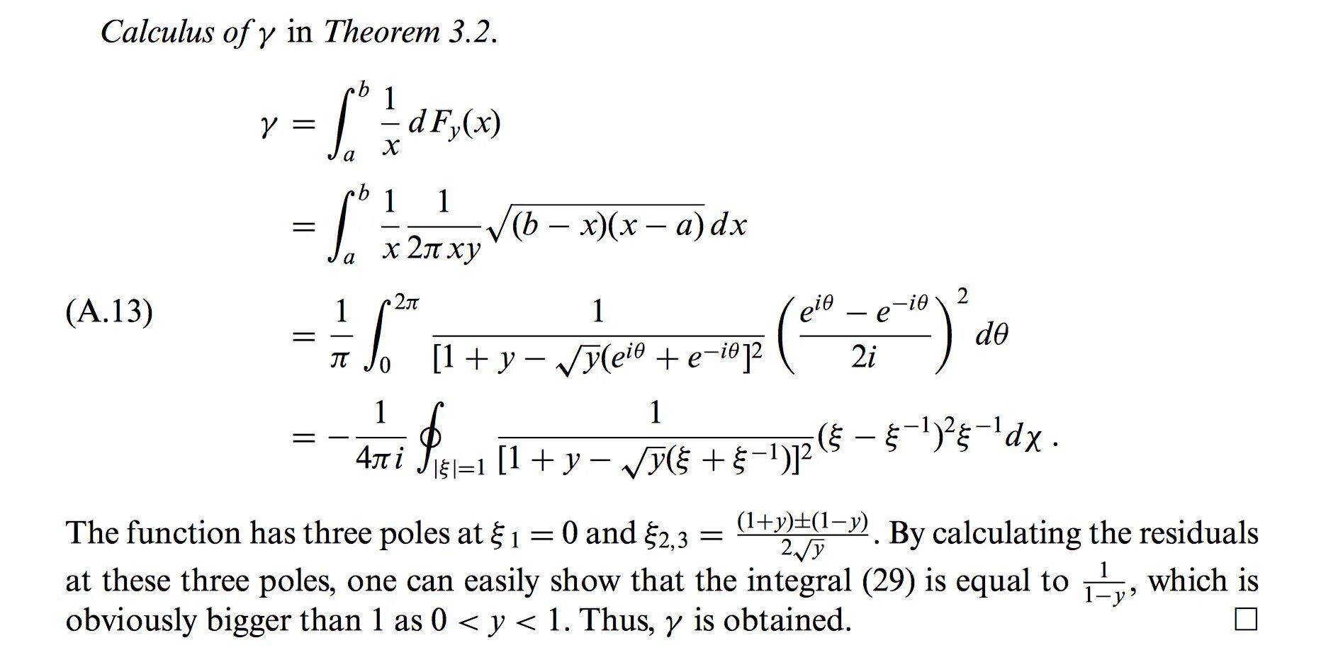
Complex integration