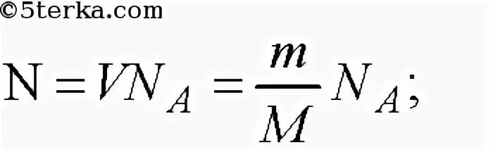
Число молекул в 1 см3