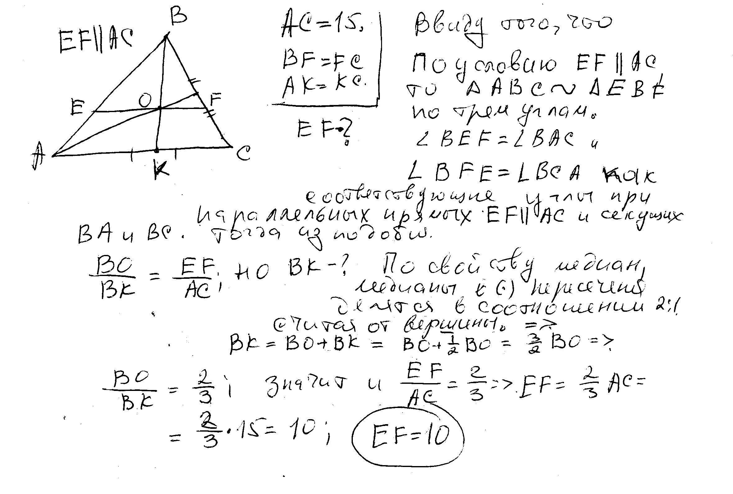
Через точку пересечения медиан треугольника проведена