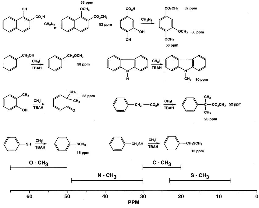
Ch3 n2