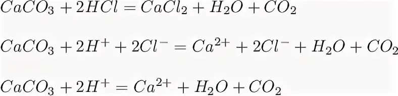
Caco3 2hcl cacl2 co2