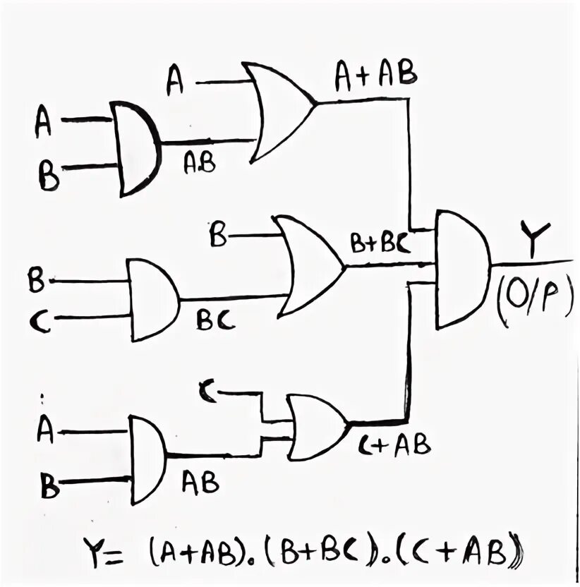
Boolean convert