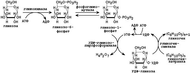
Биосинтез гликогена из глюкозы называется