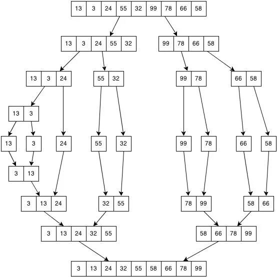
Arr sort