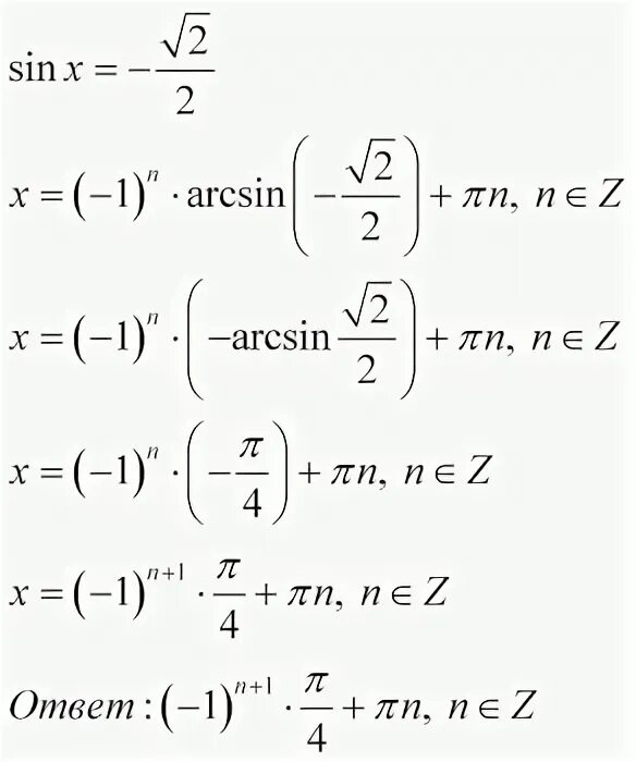
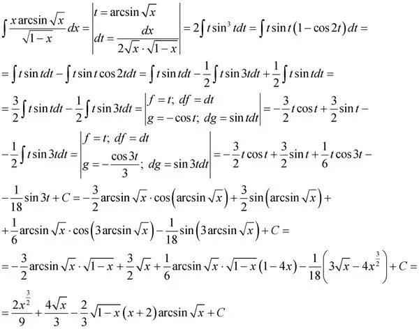
Arcsin 2 4