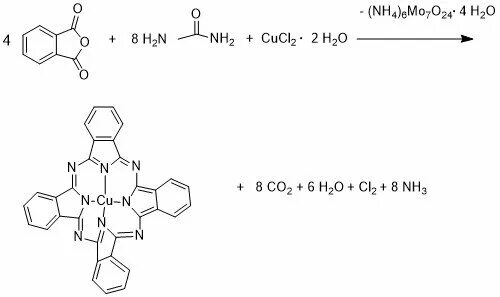
Ангидрид меди