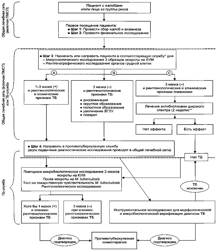
Алгоритм туберкулеза