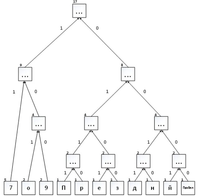
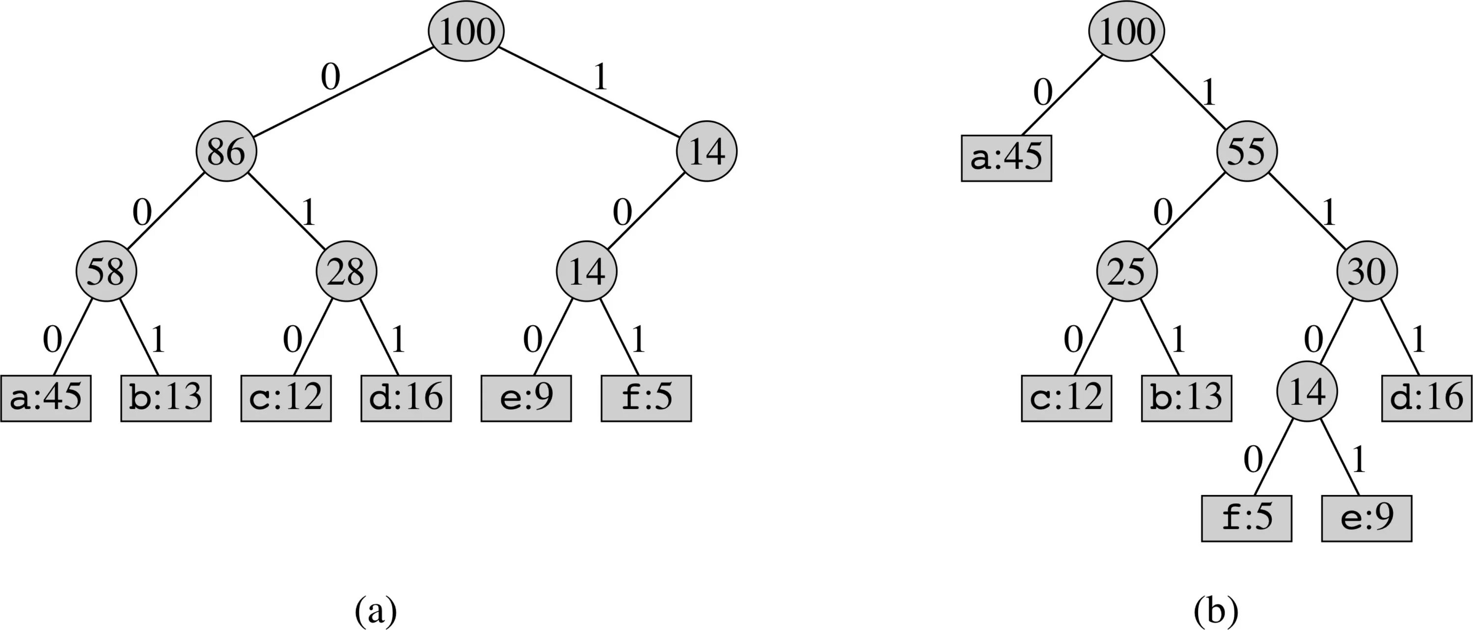
Алгоритм хаффмана c