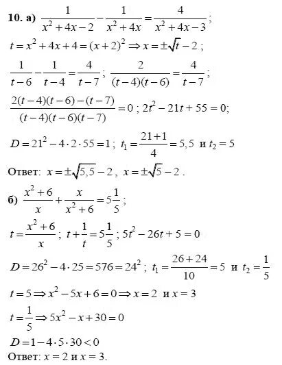
Алгоритм алгебра