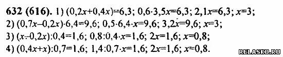
Алгебра страница 138 номер 632