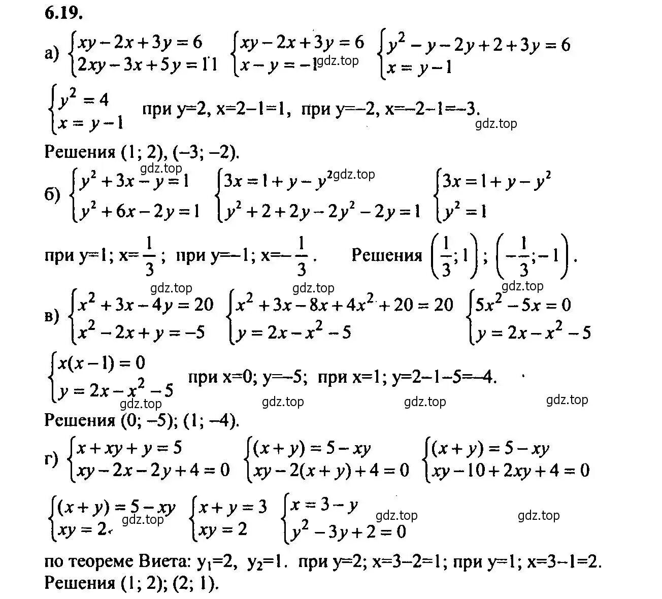
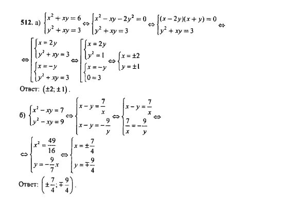
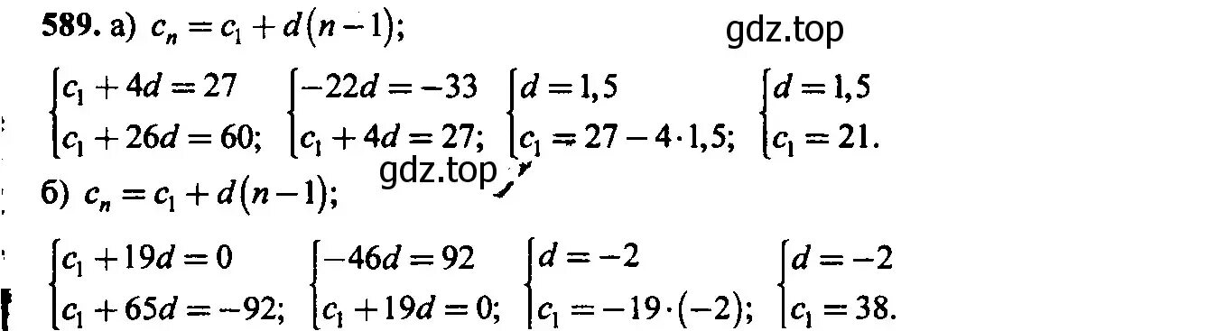
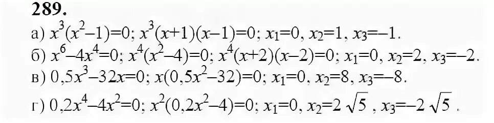
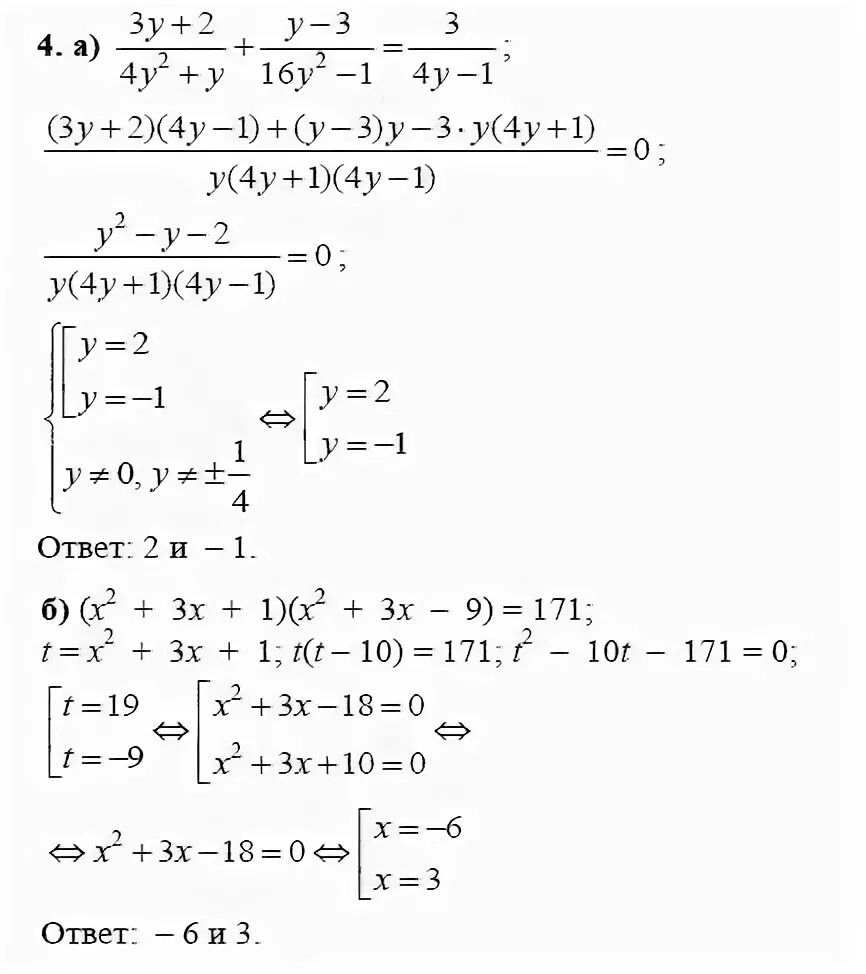
Алгебра 9 класс примеры решения