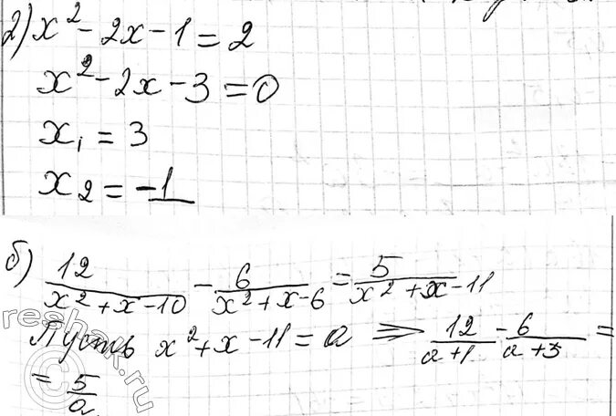
Алгебра 9 класс макарычев номер 631