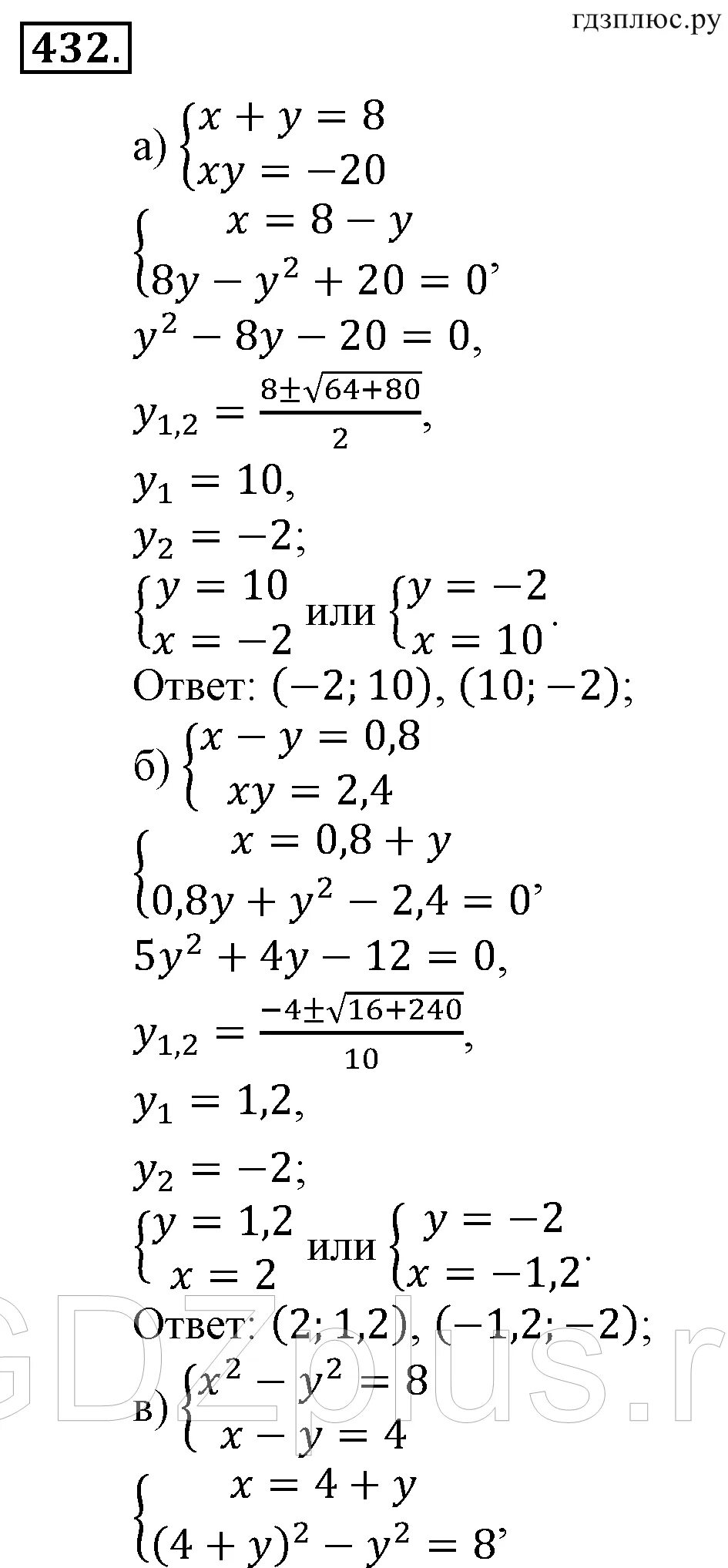
Алгебра 9 класс макарычев функции