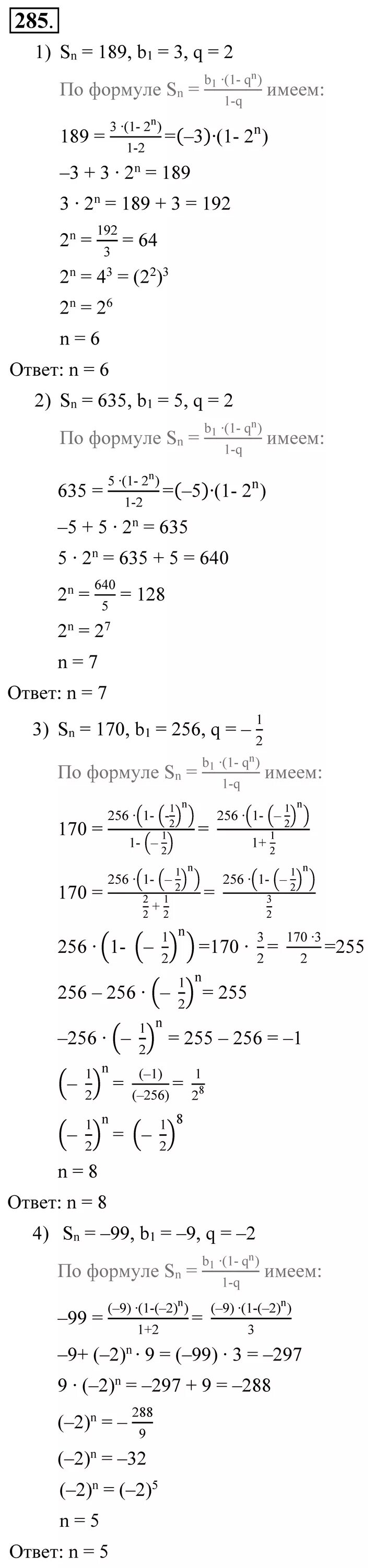
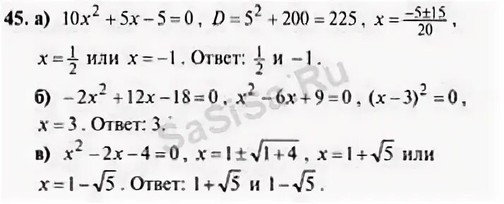
Алгебра 9 класс 634