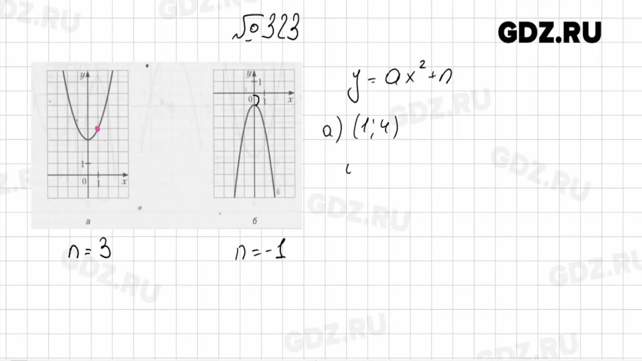
Алгебра 9 кл мерзляк учебник