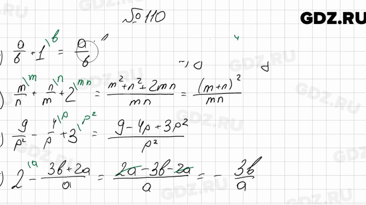
Алгебра 8 класс мерзляк 9 2