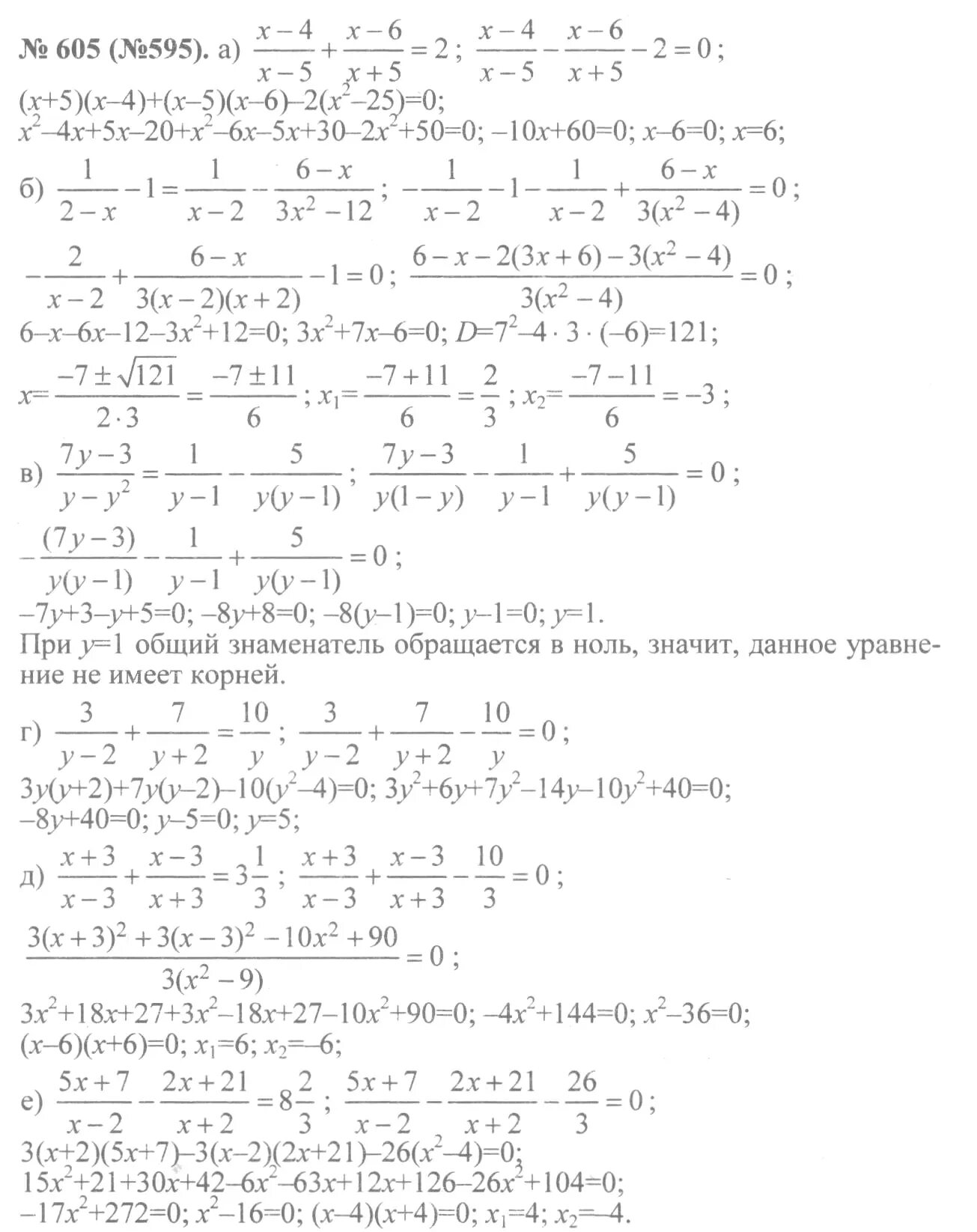
Алгебра 8 класс макарычев содержание