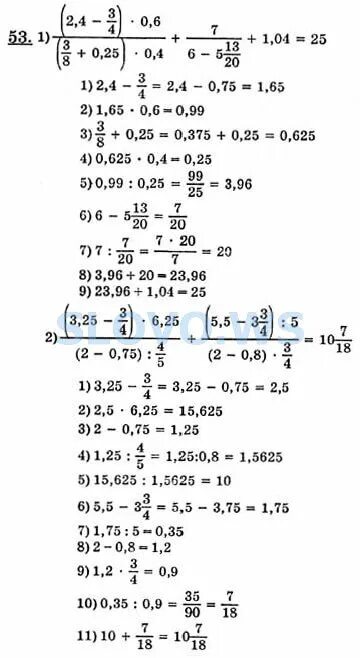
Алгебра 7 ю м колягин