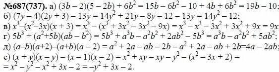
Алгебра 7 ю