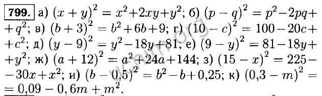
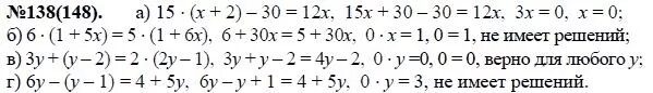
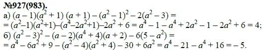
Алгебра 7 упр 799