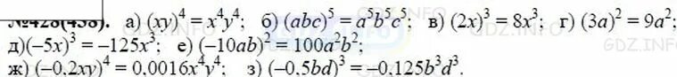
Алгебра 7 класс стр 24 номер 101