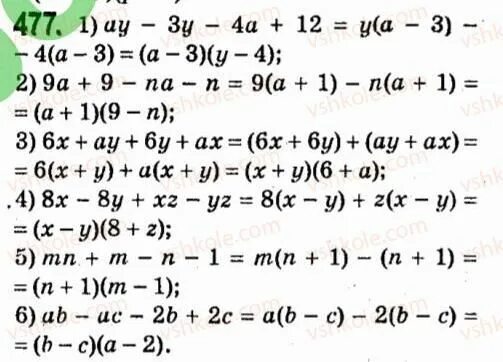
Алгебра 7 класс мерзляк дидактический читать