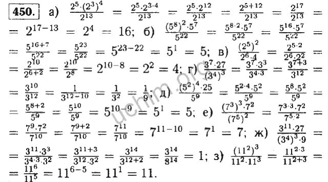
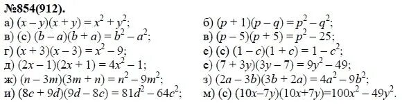
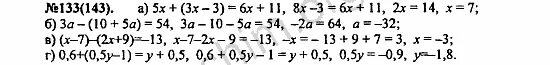
Алгебра 7 класс макарычев номер 282