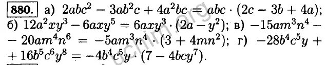
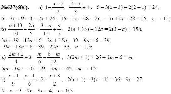
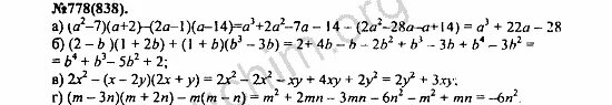
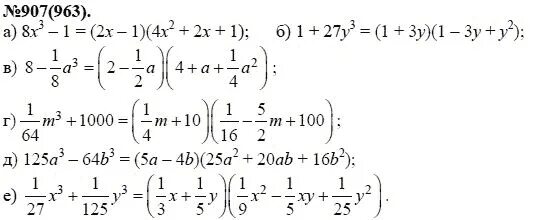
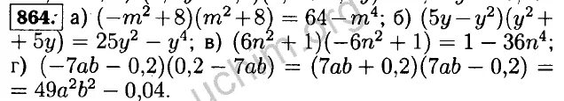
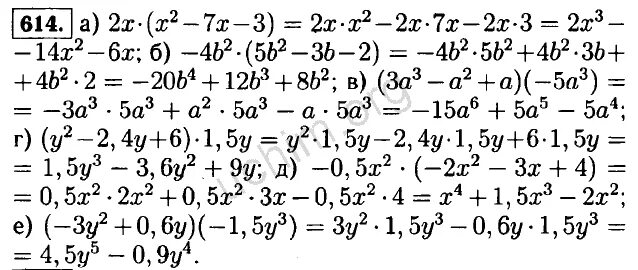
Алгебра 7 класс макарычев номер 180