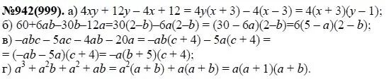
Алгебра 7 класс макарычев миндюк нешков 2025