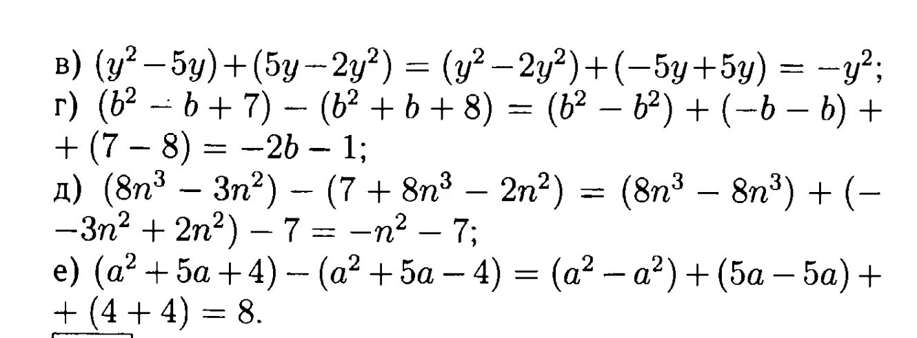
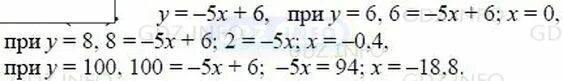
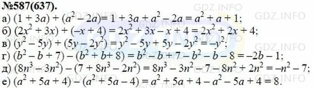
Алгебра 7 класс макарычев а г