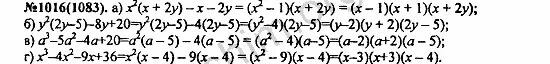
Алгебра 7 класс 669