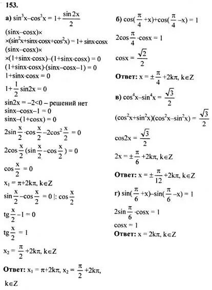
Алгебра 10 11 класса н колмогоров