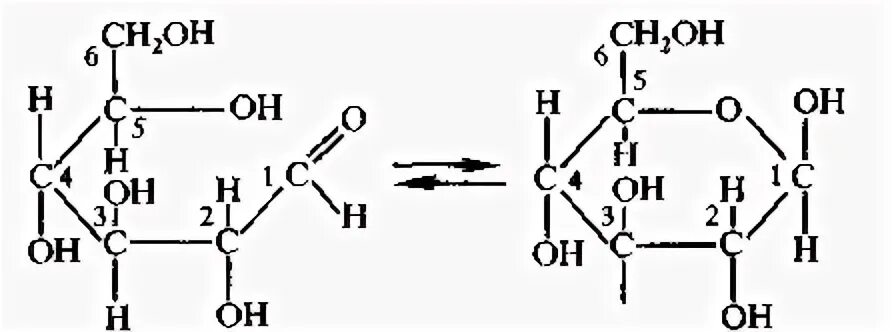
Альдегидную и циклическую форму могут иметь молекулы