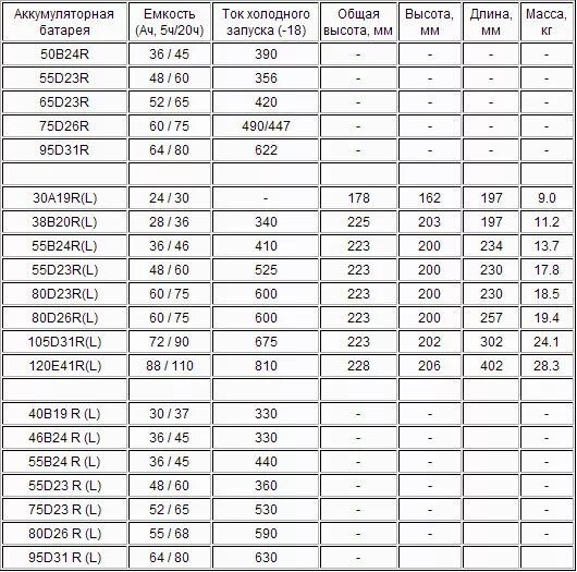
Аккумулятор размеры таблица